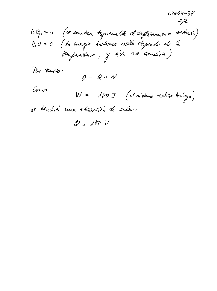
Volver al enunciado del problema